Sua Posi??o: Home Page >> Tungstênio Cobre Liga
Tungstênio Cobre Penhora Peso Golf
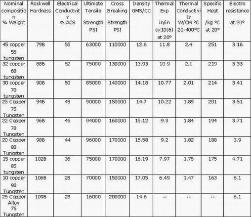
Descri??o:Esta Materiais compósitos metal refratário s?o uma combina??o de tungstênio combinada com o cobre ou prata. O processo de fabrica??o é pressionar o refratário, o calcário compacto prensado a uma temperatura elevada, e infilttaxa com cobre ou prata. Tudo isso é feito sob condi??es controladas de perto. O resultado é uma Materiais relativamente rígido com resistência de arco e desgaste superior, alta Propriedades físicas em temperaturas elevadas, e boa condutibilidade elétrica e térmica.





sales@chinatungsten.com