Votre Position: Page d'accueil >> Tungstène Alliage de Cuivre
Tungsten Cuivre Attachement Poids Golf
| description: | |
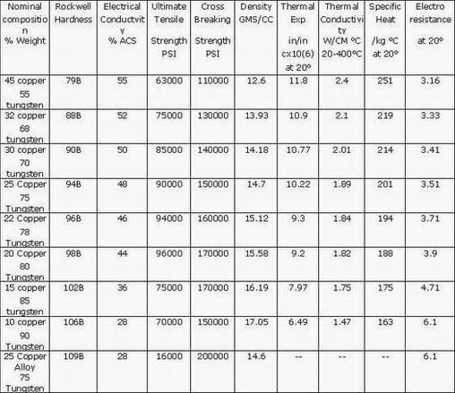
Ces matériaux composites métal réfractaire sont une combinaison de tungstène combiné avec le cuivre ou l'argent. Le procédé de fabrication consiste à appuyer sur les réfractaires, de l'agglomération de la pression compact à haute température, et infiltrer en cuivre ou en argent. Tout cela se fait sous de très près des conditions contr?lées. Le résultat est un matériel relativement dur à la résistance à l'arc et à l'usure supérieure, de hautes propriétés physiques à des températures élevées, et une bonne conductivité électrique et thermique.![]() |
|





sales@chinatungsten.com