Your Position: Home Page >> Tungsten Carbide Knowledge >> Cemented Carbide Cutting Tools >> Cemented Carbide Cutting Tools Technical Information
Cemented Carbide Tools Cutting Formula
Commonly used formula of cutting
| Metric System | |||
| Description | Symbols | Unit | Formula |
| Cutting speed | Vc | (m/min) | Vc=(π×d×n)/1000 |
| Rotation speed | n | (rev/min) | n=(Vc×1000)/(π×d) |
| Feed speed | Vf | (mm/min) | Vf=fz×Z×n |
| Feed rate per revolution | f | (mm/rev) | f=fz×Z |
| Feed rate per tooth | fz | (mm) | fz=Vf/(Z×n) |
| Inch | |||
| Description | Symbols | Unit | Formula |
| Cutting speed | Vc | (inch/min) | Vc=(π×d×n)/12 |
| Rotation speed | n | (rev/min) | n=(Vc×12)/(π×d) |
| Feed speed | Vf | (mm/min) | Vf=fz×Z×n |
| Feed rate per revolution | f | (inch/rev) | f=fz×Z |
| Feed rate per tooth | fz | (inch) | fz=Vf/(Z×n) |
| Effective diameter of cutter | ![]() |
|
![]() |
![]() |
|
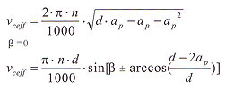
| Effective cutting speed | ![]() |
|
| Average cutting speed | ![]() |
|
Cutting is the most important processing method in the mechanical manufacturing. Blank manufacturing continuously improve the accuracy, precision casting, forging, extrusion, powder metallurgy process applications more popular, but adapt to a wide range of cutting, and can achieve high accuracy and low surface roughness, mechanical manufacturing processes still occupy an important position.
Chinatungsten Online can provide various sizes and grades of cemented carbide cutting tools, non-standard products are also customized according to customer requirements. Welcome to consult and purchase sales@chinatungsten.com, sales@xiamentungsten.com .









sales@chinatungsten.com